5. Logistic(Regression) Classification
: classification 알고리즘 중 정확도가 굉장히 높음
: 실제 문제에도 바로 적용이 가능
: 뉴럴 네트워킹, 딥 러닝을 잘 이해하는 것이 목표인 이 수업에서 중요
- 이전의 regression 은 어떤 숫자를 그냥 예측하는 것이라면,
binary classification 은 둘 중 하나를 고르는 것
ex> spam detection : spam(1) or Ham(0)
ex> Finance(주식시장)에서 SELL or BUY
ex> 공부 시간으로 따진 pass(1) or fail(0)
Q. linear regression 으로도 가능해보임?

A. 그러나 만일 어떤 친구가 50시간 공부했다면,

linear 에 따라 많이 위로 올라가야하는데,
사실은 pass or fail 이기 때문에 맞추기 위해 그래프의 기울기가 기울어지고,
0.5 를 중간 기준으로 잡아두었기 때문에 pass or fail 기준선이 이동함
-> 따라서 어떤 데이터들은 pass 인데도 불구하고 0.5보다 작아서 fail 로 인식될 수 있음
-> 또 다른 문제,
linear 라면, 가설이 1이상인 값과 0이하인 값을 결과로 도출할 수 있음
- 따라서 linear regression에서는
H(x) = Wx + b 라는 간단한 가설을 이용하는 것이 편한데,
0과1 사이로 압축을 시켜주는 형태의 함수가 있었으면 좋겠다고 생각
Q.
z = Wx + b
g(z) = 0~1 의 값을 만족시켜주는 z 가 있을까?
A.



가 0에 수렴하면 g(z)는1이 되고, 무한히 커지면 g(z)는0이 됨
(그 이상, 그 이하도 되지 않음)
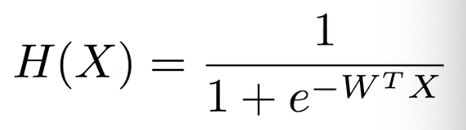
: 이 함수는 sigmoid 라고 부르거나 logisitc function이라고 부름
: z = WX
: H(x) = g(z) 가 되어,
- Logistic Hypothesis 는

가 됨
출처 : 모두의 딥러닝 https://hunkim.github.io/ml/
'AI & Deep Learning > 이론' 카테고리의 다른 글
| multinomial logistic regression - Softmax (0) | 2019.04.01 |
|---|---|
| Logistic Classification Cost 함수 (0) | 2019.04.01 |
| Multi variable linear regression (0) | 2019.04.01 |
| Linear Regression cost 함수 최소화 (0) | 2019.04.01 |
| Linear Regression 의 개념 (0) | 2019.04.01 |