4. Multi variable linear regression
: 여러 개 입력(feature)의 Linear regression
- 하나의 input variable

Hypothesis
: H(x) = Wx+b
: W와b 를 학습
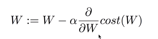
Cost function



Gradient descent algorithm

- 여러 개의 input

ex> 시험을 보는데 시험1,2,3 의 결과를 가지고 final 시험 점수를 예측(input 3개)
: H(x1,x2,x3) = w1x1 + w2x2 + w3x3 + b //예측

//예측 값과 실제 값의 차이의 제곱의 평균
- n개가 된다면,
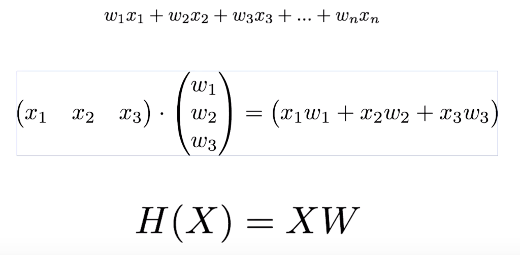
: w1x1 + w2x2 + w3x3 + ... +wnxn
: 복잡해지고 길어지므로, Matrix(행렬) 사용
- Matrix multiplication(행렬의 곱) 사용

: X 와 W 순서는 바뀌어도 됨
: X 는 매트릭스를 뜻함
: 따라서 매트릭스에서는 XW 으로 표현

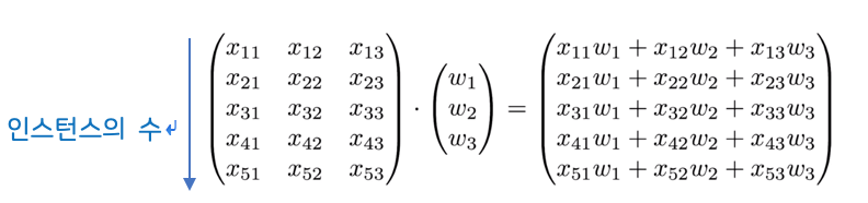
: 매트릭스를 쓰는 또다른 장점은,
: W 는 변화가 없고 인스턴스가 많을 때 각각의 인스턴스를 계산할 필요 없이
전체를 긴 매트릭스에 넣고 그냥 W 를 행렬 곱을 하면, 원하는 값이 나옴
: 인스턴스 입력5개, feature 3개(variable 3개)
[5,3] [3,1] = [5,1] 이 되는 것

[5,3] [?,?] [5,1]
일 때, W 가[3,1] 인 매트릭스 임을 예측 가능
: 매트릭스를 사용하면 이렇게
multi variable의 경우에도,
인스턴스가 많은 경우에도,
출력이 여러 개인 경우에도 쉽게 처리할 수 있음
- 이제는x 가 하나가 아니라 여러 개 일테니까 매트릭스를 많이 사용하게 될 것,
주의할 점
theory 에서는
H(x) = Wx + b
이지만,
실제 사용(구현)에서는(Implementation, Tensorflow)
H(X) = XW
를 사용.
출처 : 모두의 딥러닝 https://hunkim.github.io/ml/
'AI & Deep Learning > 이론' 카테고리의 다른 글
| Logistic Classification Cost 함수 (0) | 2019.04.01 |
|---|---|
| Logistic Classification (Binary) (0) | 2019.04.01 |
| Linear Regression cost 함수 최소화 (0) | 2019.04.01 |
| Linear Regression 의 개념 (0) | 2019.04.01 |
| tensorflow 의 기본 (0) | 2019.04.01 |